
上海2022年8月4日 /新闻稿网 - Xinwengao.com/ — 2022年8月4日,聚焦于基因和细胞治疗的上海邦耀生物科技有限公司(以下简称"邦耀生物")宣布,邦耀生物和中南大学湘雅医院合作的世界首例CRISPR基因编辑治疗β0/β0型重度地贫的患儿目前脱离输血依赖已超过2年,开启了正常生活和学习,同时该项临床试验成果今日发表在国际顶级医学学术期刊Nature Medicine(影响因子:87.241)(Nature Medicine 发文 https://www.nature.com/articles/s41591-022-01906-z)。
作为首个发表于顶级学术期刊的基于CRISPR基因编辑治疗β0/β0型重度地贫的临床研究,文章公布了详细的临床数据,更为全面地解读了BRL-101治疗患者的疗效和安全性特征。
β-地中海贫血是一种遗传性溶血性疾病,在世界范围内普遍流行,是最常见的单基因疾病之一。由于功能性β-珠蛋白严重缺乏,相当一部分患者需要定期输血才能存活,从而导致输血依赖性地中海贫血(TDT)。由于血液资源有限和铁螯合剂成本高昂,国内TDT患者仅有少部分比例能维持规范输血和规范去铁治疗,生存状态堪忧,TDT患者的生存率明显低于发达国家。
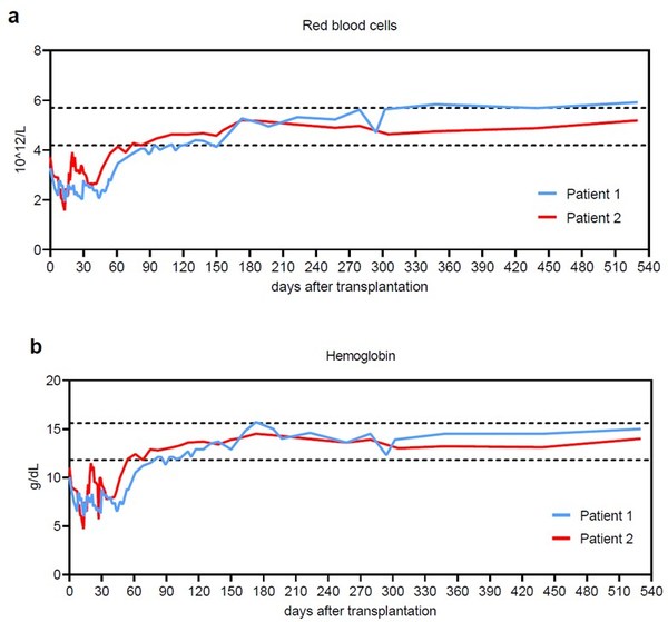
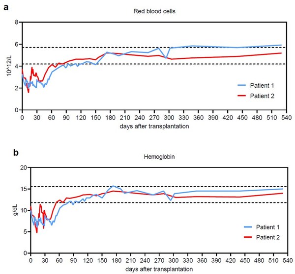
根据研究数据,基因疗法可达良好的治疗效果。通过基因编辑方式诱导γ-珠蛋白(胎儿血红蛋白HbF)的表达,是一种治疗由HBB基因突变引起的β地贫的极具前景的策略。邦耀生物科学家团队今日发表在Nature Medicine文章详细公布了该疗法的临床数据,并评估了基因疗法在输血依赖性β地中海贫血(TDT)儿童患者中的安全性和疗效。该试验将基因编辑的自体造血干祖细胞(HSPCs)移植到两名儿童患者体内,其中一名患儿(化名:希希),基因型为β0/β0(希希),被列为最严重的TDT类型;另外一例接受治疗的患儿(化名:望望)也属于TDT。截至文章投稿时,两名患儿的胎儿血红蛋白分别从基线时的2.55g/L、1.75g/L分别上升至最近一次访视的149g/L和139g/L,总血红蛋白含量也分别达到了152g/L和140g/L,且在治疗后都实现了脱离输血依赖超过16个月(脱离输血依赖的定义为:未输血的情况下总血红蛋白达到或超过90g/L)。在整个治疗过程中,清髓预处理相关毒性较轻,未发生严重的感染,并分别于移植后52 天和40 天出院。如下图,两名患者的红细胞数量和总体血红蛋白水平在第 45 天左右开始稳定增加,在第 75 天左右达到健康水平。截至日前,两例受试者脱离输血依赖均已超过24个月。
对编辑后重建的PBMCs插入缺失模式的探索性分析显示,在近两年的随访期内,没有观察到异常的克隆扩增现象。同时,研发人员对经基因编辑后重建的PBMCs进行了单细胞RNA测序,全面分析由未编辑或编辑的HSPC重组的血液谱系的转录组,表明BCL11A红系特异增强子编辑不会导致非红细胞的显著转录变化,不会影响B细胞以及DC细胞的发育和功能相关基因的表达,这些结果均显示该疗法没有明显的副作用。
总之,该研究提供了可以实现 CRISPR/Cas9 编辑的自体HSPC的移植和长期植入的原理证明,并且证实了胎儿血红蛋白水平的持续升高足以改善输血依赖性β-地中海贫血,即使对于β-珠蛋白链生成完全受抑制的 β0/β0 基因型也是如此。
对于与邦耀生物合作的项目,付斌大夫表示:基因异常的疾病,基因治疗是最有效的治疗方法之一,基因治疗最关键的是基因层面改造技术的高效和安全,之所以选择和邦耀生物合作,是看中邦耀生物在基因改造技术,尤其是在基因编辑技术领域已处于世界领先水平,这个研究项目的成功实施就是有力的证明。同时,造血干细胞移植成功是基因治疗成功的必备条件,因此临床移植团队的移植水平同样是基因治疗成功的必备条件;项目的成功开展是建立在前期高水平造血干细胞移植技术的基础上取得的。从治疗结果来看,这两名患儿治疗后的恢复情况非常理想,表现为以下几个方面:第一,脱离输血非常快,两个孩子在治疗后2个月内就脱离了输血依赖,血红蛋白持续保持在正常范围;当然,血红蛋白的类型主要是重新诱导出来的自身胎儿血红蛋白。第二,基因治疗期间没有发生严重的合并症,治疗后也没有明显的慢性合并症,外表完全正常,而且都长高了10cm。当然,安全性和有效性即需要继续长期随访,也需要进一步增加研究例数来验证。
邦耀生物董事长刘明耀教授说,从两名患儿接受治疗后的恢复结果来看,可以说这一研究代表了国内基因编辑技术在临床转化方面的突破性成果,从基础到临床转化研究已处于国际领先水平。一方面,采用基因编辑治疗方案对比传统疗法,不仅更为高效、便捷和安全,且成本极大降低,有望成为更惠及大众的疗法;另一方面,基因治疗地贫的成功案例,真的是让很多地贫患儿家庭看到了希望,并且通过日常与包括地贫在内的大量罕见病患者接触,对此也希望和呼吁,未来不只是聚焦地贫领域,也希望基因编辑疗法能治疗更多的其他罕见性疾病患者。
目前,邦耀生物利用自主开发的基于基因编辑技术的造血干细胞平台(ModiHSC®)在治疗β0/β0型重度地贫患者的临床试验中已取得了良好的效果,全国范围内已成功帮助多例β地贫患者脱离输血依赖(根据随访患者案例,时长已超过2年) 。值得一提的是,此前邦耀生物在地贫领域的突出性成果已选入到第二版《中国地贫防治蓝皮书》(2020)的治疗方法部分;并且就在2022年5月31日,邦耀生物的"BRL-101自体造血干祖细胞注射液"的临床申请获得国家药监局药品审查中心(CDE)受理(受理号:CXSL2200236)。未来针对这一项目的研究对象年龄将进一步扩大到35岁,有望让地贫移植领域的"老大难群体" — 大龄及配型无望的患者受益。
邦耀生物作为一家以"以基因编辑引领创新,开发突破性疗法,造福全人类"为使命的细胞基因药企,不断克服行业壁垒,进行多靶点的战略布局,目前在基因编辑治疗β-地中海贫血症、PD1敲除非病毒定点整合CAR-T、以及UCART等项目中已经取得优异临床效果。未来,仍将通过不断地加速推进创新药物的转化与落地,从而造福包括地中海贫血在内的全球罕见遗传疾病及恶性肿瘤患者!