
中国杭州和绍兴2021年4月12日 /新闻稿网 - Xinwengao.com/ — 歌礼制药有限公司(香港联交所代码:1672)今日宣布,公司在非酒精性脂肪性肝炎和乙肝领域的四篇临床和临床前研究摘要入选2021年欧洲肝脏研究学会(EASL)年会暨国际肝病大会(The International Liver Congress™ 2021, ILC 2021)的壁报展示。以下为4篇摘要的概要信息:
1、标题:肝脏靶向THR-β激动剂ASC41口服片具有显著降脂作用:一项 Ⅰ 期随机、双盲、安慰剂对照单剂量和多剂量递增研究
摘要/海报编号:1851
类别:非酒精性脂肪性肝病治疗
结果:在单剂量递增的研究中,随着给药剂量从1 mg到20 mg,ASC41的药代动力学特征呈线性关系,且在高达20 mg的剂量组中仍表现出良好的安全性和耐受性。在多剂量递增的临床研究中,经过14天每日口服一次ASC41片剂治疗后,给药组受试者的低密度脂蛋白胆固醇(LDL-C)和甘油三酯(TG)指标相对安慰剂组表现出具有临床意义和统计学显著性的降低,如下表所示:
|
去除安慰剂效应后,经过14天每日口服一次ASC41片剂治疗后相对基线变化(平均值) |
|||
|
1 mg (n=12) |
2 mg (n=12) |
5 mg (n=12) |
|
|
去除安慰剂效应后,低密度脂蛋白胆固醇(LDL-C)降低 P值 vs 安慰剂 |
-0.42% P=0.947 |
-11.94% P=0.052 |
-19.99% P=0.002 |
|
去除安慰剂效应后,甘油三酯(TG)降低 P值 vs 安慰剂 |
-39.43% P=0.002 |
-31.06% P=0.029 |
-34.49% P=0.015 |
在14天治疗中,ASC41在所有剂量组中无3级或以上不良事件、严重不良事件或提前停药事件发生。在14天每日口服一次ASC41片剂的研究中,随着给药剂量从1 mg增加到5 mg,ASC41片剂的药代动力学特征呈线性关系。
结论:这些数据支持ASC41在非酒精性脂肪性肝炎适应症上开展后期临床试验。
2、标题:选择性THR-β激动剂ASC41对高脂饮食导致患有非酒精性脂肪性肝炎的大鼠非酒精性脂肪性肝活动积分和肝纤维化评分的显著改善
摘要/海报编号:1908
类别:非酒精性脂肪性肝病治疗
结果:ASC41对改善肝脂肪变性、炎性细胞浸润、气球样变和非酒精性脂肪肝活动积分(NAS)呈剂量依赖性。1.5mg/kg和4.5mg/kg剂量的ASC41相比较5mg/kg剂量的MGL3196剂量显著改善NAS积分,两者间具有统计学差异。ASC41在0.5mg/kg时,NAS积分降低23.9%,肝纤维化评分降低14.4%,与5 mg/kg时的MGL196相当。ASC41在1.5mg/kg和4.5mg/kg时均显示出血清低密度脂蛋白的显著降低。
结论:ASC41对高脂饮食导致患有非酒精性脂肪性肝炎的大鼠可以降低NAS和肝脏纤维化评分。目前的疗效数据支持ASC41开展后期临床试验。
3、标题:新型非甾体FXR激动剂ASC42对高脂饮食导致的患有非酒精性脂肪性肝炎小鼠非酒精性脂肪性活动积分和肝纤维化评分的显著改善
摘要/海报编号:1961
类别:非酒精性脂肪性肝病治疗
结果:ASC42对改善肝脂肪变性、炎性细胞浸润、气球样变和非酒精性脂肪肝活动积分(NAS)呈剂量依赖性。与30 mg/kg的奥贝胆酸相比,30 mg/kg的ASC42显示出更高的NAS积分降低(P<0.001)。ASC42在3mg/kg时显示NAS积分降低46.2%,肝纤维化降低15.2%,与30mg/kg奥贝胆酸相当。在ASC42治疗的小鼠中,肝脏中的甘油三酯呈剂量比例下降。
结论:ASC42对高脂饮食导致患有非酒精性脂肪性肝炎的小鼠可以降低NAS积分和肝脏纤维化评分。这些数据支持ASC42开展后期临床试验。
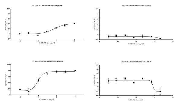
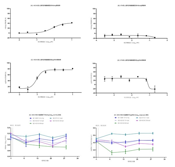
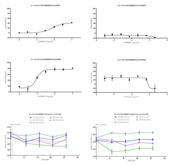
4、标题:新型非甾体FXR激动剂ASC42对动物体内和体外HBsAg和HBV pgRNA有显著抑制作用
摘要/海报编号:1917
类别:病毒性肝炎
结果:在原代人肝细胞(PHH)模型中,对照化合物恩替卡韦(ETV)对HBV DNA具有预期的抑制活性,但对HBV pgRNA和HBsAg无抑制作用,而ASC42对HBsAg、HBV pgRNA和HBV DNA呈剂量依赖性抑制,EC50分别为0.79μM、0.09μM和0.62μM(图1 A-D)。在AAV/HBV小鼠模型中,ETV(0.1mg/kg)单药治疗后,小鼠血浆HBV DNA明显下降,HBV pgRNA和HBsAg无明显下降,ASC42对小鼠血浆中HBV pgRNA、HBsAg、HBV DNA具有剂量依赖性抑制作用。与溶媒对照组相比,ASC42高剂量组(60 mg/kg)分别降低HBV pgRNA、HBsAg和HBV DNA 0.60 log10拷贝/μl(P <0.01)、0.38 log10 IU/μl(P =0.002)和0.77 log10拷贝/μl(P <0.05)(图1 E-F)。
结论:FXR激动剂ASC42对HBV DNA、HBV pgRNA和HBsAg具有明显的抑制作用,提示ASC42对乙型肝炎具有临床治愈的潜力。这一结果支持ASC42在人体中进一步开展临床试验。
关于歌礼
歌礼是一家在香港证券交易所上市(1672.HK)的创新研发驱动型生物科技公司。歌礼致力于脂肪性肝炎、肿瘤脂质代谢与口服检查点抑制剂、病毒性肝炎和艾滋病四大疾病领域创新药的研发和商业化,满足国内外患者临床需求。在具备深厚专业知识及优秀过往成就的管理团队带领下,歌礼已发展成为一体化平台型公司,涵盖了从新药发现和开发直到生产和商业化的完整价值链。
歌礼目前拥有三个商业化产品和十七个在研产品(其中十一个为完全自主研发)。1、非酒精性脂肪性肝炎:歌礼制药有限公司旗下全资子公司甘莱制药专注于非酒精性脂肪性肝炎领域创新药的开发和商业化。甘莱制药有三款分别针对脂肪酸合成酶(FASN)、甲状腺激素受体ß(THR-ß)及法尼醇X受体(FXR)的处于临床阶段的候选药物及三种处于临床前阶段的联合用药疗法。2、肿瘤脂质代谢与口服检查点抑制剂:专注于在肿瘤脂质代谢中起关键作用的脂肪酸合成酶口服抑制剂管线以及新一代检查点抑制剂-口服PD-L1小分子抑制剂管线。3、病毒性肝炎:(i) 乙肝:歌礼专注于乙肝临床治愈创新药物的研发。探索以皮下注射PD-L1抗体ASC22及派罗欣®为基石药物,与其他靶点药物联合的治疗方案,有望为临床治愈乙肝带来重大突破。(ii) 丙肝:歌礼成功研发上市两个1类新药戈诺卫®和新力莱®,组成全口服丙肝治疗方案;ASC18固定剂量复方制剂是升级版的丙肝治疗方案,已完成桥接试验。4、艾滋病:ASC09F是一种用于治疗HIV的蛋白酶固定剂量复方抑制剂,ASC09F的临床试验申请已获得批准。欲了解更多信息,请登录网站:www.ascletis.com。
相关链接 :
http://www.ascletis.com